Paarshva (Year 12) Editor's note: Year 12 student Paarshva skillfully gets to grips with complex philosophical and functional arguments in seeking to better understand the extent to which machines can/could ever experience emotion like we can. Paarshva suggests that machines are increasingly able to recognize and simulate emotion, but this is distinct from the more … Continue reading Can machines experience emotion like we can?
Category: Mathematics & Computing
Valerie L. Thomas – Trailblazer, Inventor and Ambassador
Lily A - Year 12 Student Effortlessly surfing the Internet and casually downloading web images, we rarely pause to think how all of the daily actions we so easily take for granted in our lives were actually made possible. Have you ever wondered how a hologram works? How detailed satellite images allow us to navigate … Continue reading Valerie L. Thomas – Trailblazer, Inventor and Ambassador
Katherine Johnson: the remarkable NASA mathematician
Philippa - Year 10 Student Editor’s note: This short essay was recently entered into the GSAL Black History Essay Writing Competition, organized by The GSAL Journal and UPSoc to coincide with Black History Month. Open to all students in Year 10-13, the purpose of the competition was to encourage students to undertake independent research, think … Continue reading Katherine Johnson: the remarkable NASA mathematician
American SHEro is out of this world!
Ariana - Year 12 Student Editor’s note: This short essay was recently entered into the GSAL Black History Essay Writing Competition, organized by The GSAL Journal and UPSoc to coincide with Black History Month. Open to all students in Year 10-13, the purpose of the competition was to encourage students to undertake independent research, think … Continue reading American SHEro is out of this world!
A Mark made in history
Aidan – Year 13 Student Editor’s note: This short essay was recently entered into the GSAL Black History Essay Writing Competition, organized by The GSAL Journal and UPSoc to coincide with Black History Month. Open to all students in Year 10-13, the purpose of the competition was to encourage students to undertake independent research, think … Continue reading A Mark made in history
Mary W. Jackson: mathematician and engineer
Henry – Year 11 Student Editor’s note: This short essay was recently entered into the GSAL Black History Essay Writing Competition, organized by The GSAL Journal and UPSoc to coincide with Black History Month. Open to all students in Year 10-13, the purpose of the competition was to encourage students to undertake independent research, think … Continue reading Mary W. Jackson: mathematician and engineer
How to Lie with Statistics
Megan - Year 13 Student Editor’s Note: This essay forms part of a collection of student works published in the 2020 edition of Salutaris, the GSAL Sixth Form academic journal. This is the first time that this piece of work has been published online. CPD There are three kinds of lies: lies, damned lies, and statistics.(Unknown, 1885) Statistics … Continue reading How to Lie with Statistics
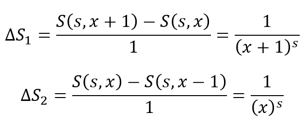
Convergence of the sum of reciprocals
Jake - Year 12 Student Editor's Note: Talented Year 12 Further Mathematician Jake writes here on the convergence of the sum of reciprocals. This is Jake's second publication in The GSAL Journal; you can read more from Jake here. CPD Introduction Let us consider the set of sums: When taken to the limit as x … Continue reading Convergence of the sum of reciprocals
Robot Rights – an impossibility or an inevitability?
Michal - Year 12 Student Editor’s Note: Year 12 student Michal writes here for the GSAL Science Magazine on the fascinating topic of robot rights. As Michal notes, "[a]rtificial intelligence raises serious questions about philosophical boundaries. While we may ask if sentient robots are conscious or deserving of rights, it forces us to pose basic questions like ‘What … Continue reading Robot Rights – an impossibility or an inevitability?
Computational Integration – How do we integrate?
Jake - Year 12 Student Editor's Note: Talented Year 12 mathematician Jake writes here on the complex topic of computational integration. This essay was entered into the Teddy Rocks Maths Competition organised by St. Edmund Hall, Oxford; you can view Jake's essay published on the website here. CPD Introduction Let me preface by exploring why … Continue reading Computational Integration – How do we integrate?










