Jake – Year 12 Student
Editor’s Note: Talented Year 12 Further Mathematician Jake writes here on the convergence of the sum of reciprocals. This is Jake’s second publication in The GSAL Journal; you can read more from Jake here. CPD
Introduction
Let us consider the set of sums:

When taken to the limit as x goes to infinity, this is also known as the Riemann Zeta function or ζ(s).
It is clear when trying to find ζ(s) that for certain values of s it converges and for other values it does not (letting s be less than 0 would lead to an infinite sum of growing terms hence will clearly diverge while letting s be very large and positive would lead to each term becoming very close to zero hence clearly converge) however, it is not immediately clear for what values of s, ζ(s) converges.
Considering Derivatives
One way of seeing if our series converges or diverges would be representing it as a closed-form function and seeing whether that diverges. By closed form I mean a function that is made up of a finite number of functions where we know if each function diverges contrary to our infinite sum.

One way we could do this is by finding a function that is approximately S(s, x) meaning that if this new function, g, diverges then so does S and likewise for convergence.
We may start by considering the discrete derivative of S(s, x); discrete derivatives give the gradient between 2 discrete points on a discrete function.

We know these via the definition of S(s,x).
Since we have 2 different derivative functions, we may be able to bound S between them. Since both gradients are decreasing in our domain (x>0 and s>0 since if s<0 the function turns into an increasing sum) the maximum gradient will be the derivative approaching from the left and our minimum gradient will be approaching from the right hence,


However, since we know that it is bound between two functions that have a constant difference at the limit, we know that in the limit the difference between S and ln(x) should tend to a constant,

This is called the Euler-Mascheroni constant.
Conclusion
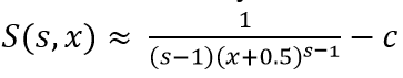
Finally, we have shown that the Riemann Zeta function converges when s>1 and diverges otherwise (where s is real). Likewise, as ln(x) is on the border between divergence and convergence I think that it is safe to say that ln(x) grows slowly, an obvious yet otherwise ambiguous statement. An interesting point to note is that this result could be used to adjust a calculated convergence value to being more accurate since if we approximate,

by meeting in the middle of the two bounds then we could use partially computed values for S at a known x, substitute them in and find a constant that the function will converge. This constant will be an overestimate contrary to the computed underestimate but is closer to the true value for any x.
Jake 343774
